2020-2021年上海财经大学行政管理考研招生情况、复试分数线、参考书目及备考经验指导!
一、学院简介
上海财经大学公共经济与管理学院于2001年9月在原财政系、投资系以及社会保障系等与公共经济、公共管理相关专业和学科点的基础上组建而成。
学院现有在校学生1662人,其中本科生981人(含普通本科生802人、中外合作本科生179人),硕士研究生560人(含学术型硕士132人、公共管理专业学位硕士316人、税务专业学位硕士62人,资产评估专业学位硕士50人,博士研究生121人。
本科专业:财政学、税务学;行政管理、公共事业管理、劳动与社会保障;投资学、项目管理、工程管理、土地资源管理、房地产开发与管理(中外合作)。
硕士点:财政学、税收学、公共经济政策学;行政管理、社会医学与卫生事业管理、教育经济与管理、社会保障、土地资源管理;国民经济学、投资经济、技术经济及管理、房地产经济学;公共管理硕士(MPA)、税务硕士、资产评估硕士。
博士点:财政学、税收学、公共经济政策学;国民经济学、投资经济、技术经济及管理、房地产经济学。
实验室:公共政策模拟与仿真实验室、教学实验室。
二、上海财经大学行政管理考研招生情况
1、专业及方向
120401行政管理
00不区分研究方向
2、初复试科目
(101)思想政治理论
(201)英语一或(203)日语
(303)数学三
(801)经济学
3、试卷结构及参考书目推荐
初试参考书目
范里安版《微观经济学:现代观点》
曼昆版 《宏观经济学》
巴罗版 《宏观经济学:现代观点》
一般情况下,是范里安的《微观》→曼昆的《宏观》→巴罗的《宏观》,这样的顺序比较合适。
复试参考书
《行政管理学(第四版)》夏书章,中山大学出版社(2013年)
4、招生人数
2019年拟招收3人,不含推免生。
5、2018年试卷结构
单项选择、判断、计算分析
三、上海财经大学近三年行政管理考研复试分数线
|
年份 |
公共课 |
专业课 |
复试线 |
|
2018 |
55 |
83 |
350 |
|
2017 |
55 |
83 |
355 |
|
2016 |
45 |
68 |
335 |
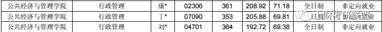
四、2018年上海财经大学行政管理考研拟录取名单
详情请关注“行政管理考研联盟”微信公众号查阅!

五、2019上财行管考研备考经验指导
在三本书中,范里安、曼昆的2本相对易懂一些,稍有基础的考生就可以直接学习,如果是完全零基础,并且时间比较充分(例如大二学生),建议先学习其他入门教材,然后再学习这2本教材。如果是打算先学其他教材入门的话,以下教材可以考虑:①高鸿业,《西方经济学(微观部分·第六版)》,中国人民大学出版社;②高鸿业,《西方经济学(宏观部分·第六版)》,中国人民大学出版社;③巴罗那本难度偏大,建议学完曼昆教材后再学习。按照这个建议做的话,一般不会有太大障碍,除非你前期的基础没打好(例如曼昆的教材还没搞懂,就开始学巴罗的教材)。
六、2018年专业课801经济学考研真题分析
18年801经济学感觉题目计算量比之前大点,难度和2015年、2016年经济学考的差不多,其他和近年的真题都差不多,这个已经连续很多年了,不过今年居然还有里面的一道原题和几道类似大题。
第一道大题:效用最大化计算题,比较基础,送分题,考的是柯布道格效用函数
第二道大题:寡头垄断计算题,跟15、16年考的相似,不过今年计算比较复杂,思路完全一样
第三道大题:瓦拉斯均衡,也就是交换大题,这个也是常考题型了,还好不算特别复杂
第四道大题:经济增长的计算题,这个题目是专题的例题原题差不多的
第五道大题:考经济增长,换了个套路,考论述分析题,基本模型差不多,反正就是狂写字,不知道有没有答到要点
第六道大题:IS-LM模型基础计算题,二元一次方程计算,然后政策分析下
七、2018年801经济学考研真题回忆
计算题
1、张三效用为u(x1,x2)=,收入为100元,开始时x1价格为1,x2价格为2
(1)求张三初始时的最优消费数量?
(2)对x1征收从量税100%,张三的最优消费量?
(3)征收总额税50元,张三的效用?
(4)征收总额税还是征收从量税时的效用哪个效用要高?
2、两家厂商其成本函数都为c=10y,市场需求为q=220-2p。
(1)企业1为产量领导型,求企业1和企业2的产量和利润?
(2)企业1与企业2同时定价,求企业1的产量和利润?
(3)企业1和2结成卡特尔的利润与产量?假定企业2一定不会背叛的情况下,企业1的最优产量与利润?
3、ZF为减少汽油的需求,征收从量税
(1)画出预算线变动图,并指出消费者福利的变动。
(2)若ZF将征收的税款全部退回,画出图并分析消费者福利的变动。
(3)若ZF按初始消费量进行退税,画出图并分析消费者福利的变动。
(4)比较两种方案的退税额和税收收入的大小。
4、住房服务市场需求为s=Y-2R,实际房租为R,收入为Y,住房服务市场供给为s=2H,H现存房子数量。Q为真实房价,m为房产税,不用计提折旧,名义利率为i,房价变动率πH为通货膨胀率π和真实房价变动率ΔQ╱Q。
(1)求住房服务市场均衡条件?
(2)求住房供给均衡条件,并求出真实房价动态方程?
(3)漏了一问想不起来了。。
(4)ZF增加房产税,和央行增加名义利率对真实房价的变动的影响?
5、y=k0.5,人口增长率为0.005,折旧d=0.036,储蓄率s=0.04
(1)稳态时人均资本存量?
(2)最大消费是的储蓄率为多少?
(3)储蓄率由0.04变动到0.36时,下一期的总产出与人均资本?
(4)分别画出储蓄率由0.04变动到0.36总产出与人均资本达到稳态时的路径。
6、(1)ZF减税时,用AD-AS曲线图分析在短期和中期影响对价格和产出的影响?
(2)ZF减税时用IS-LM曲线分析在短期和中期对利率影响?
判断
1.微软公司的软件在中国市场和美国市场销售价格不同,是二级价格歧视的一个例子。
2.当政府向垄断企业征税时,垄断企业总是会把全部税赋转嫁给消费者。
3.只要产权界定明晰,则资源最终配置的结果和产权初始分配无关。
4.在长期均衡点,完全竞争市场中每个厂商的利润都为零。因此,在价格下降时,行业中的所有厂商都无法继续运营。
.png)


















