法学硕士复试细则
根据复旦大学制定的《复旦大学2019年硕士研究生招生复试录取办法》,法学院特制定《复旦大学2019年法学院法学硕士学位研究生招生复试实施细则》。
一、复试名单的确定
按照复旦大学2019年硕士研究生招生复试录取工作的相关要求,达到复旦大学2019年硕士研究生招生考试考生进入复试的初试成绩基本要求,并且按照各二级学科招考名额不超过1:2的差额比例确定2019年法学院法学硕士复试名单。
二、复试的科目、方式、复试成绩权重、录取标准
(1)专业知识与技能复试:
法学理论专业复试科目是“法理学”;法律史专业复试科目是“中外法制史”;宪法学与行政法学专业复试科目是“宪法学与行政法学”;刑法学专业复试科目是“刑法学”;民商法学专业复试科目是“民商法学”;诉讼法学专业复试科目是“诉讼法学”;经济法学专业复试科目是“经济法学”;环境与资源保护法学专业复试科目是“环境法学”;国际法学专业复试科目是“国际法学”。
专业知识与技能复试采取口试方式,面试时间不少于15分钟且全程录音,按百分制评分,复试成绩未达60分的,不予录取。
(2)外语口语(含听力)复试方式:
外语采用口试方式测试口语和听力,面试时间不少于5分钟且全程录音,按百分制评分,复试成绩未达60分的,不予录取。
(3)同等学力考生加试:
同等学力考生加2门本科专业主干课作为复试科目,采用笔试方式,分别按百分制评分。同等学力考生加试科目有一门科目笔试成绩未达60分的,不予录取。
(4)“思想政治品德”采用笔试方式。考核成绩分为合格与不合格。如“思想政治品德”考核不合格则不予录取。
(5)复试总成绩由专业知识与技能复试成绩和外语口语(含听力)复试成绩两项组成。其中前项成绩在复试总成绩中占80%权重,后项成绩在复试总成绩中占20%权重。
(6)初试成绩和复试总成绩相加后,得出考生招生考试总成绩。初试成绩与复试总成绩各占招生考试总成绩的50%权重。除(1)(2)(3)(4)中不予录取的特定情况外,各专业分别按招生考试总成绩的排名择优录取;成绩并列的,按复试总成绩择优录取。
说明:
一、成绩计算公式:
1.总成绩=初试成绩+复试成绩
2.初试成绩折算:
初试总分×0.1=初试成绩
注:0.1=0.2×0.5(初试总分500分折算成100分也就是100÷500=0.2)
3.复试成绩折算:
专业知识与技能成绩×0.4+英语口语成绩×0.1=复试成绩
注:0.4=0.8×0.50.1=0.2×0.5
二、复试具体安排待学院网站另行通知。
三、除考试文具外,考生携带的其他物品(包括手机),必须放到监考员指定位置。
四、法学院监督与申诉电话:021-31245703。
五、本细则的最终解释权归复旦大学法学院所有。
复旦大学法学院
2019年3月
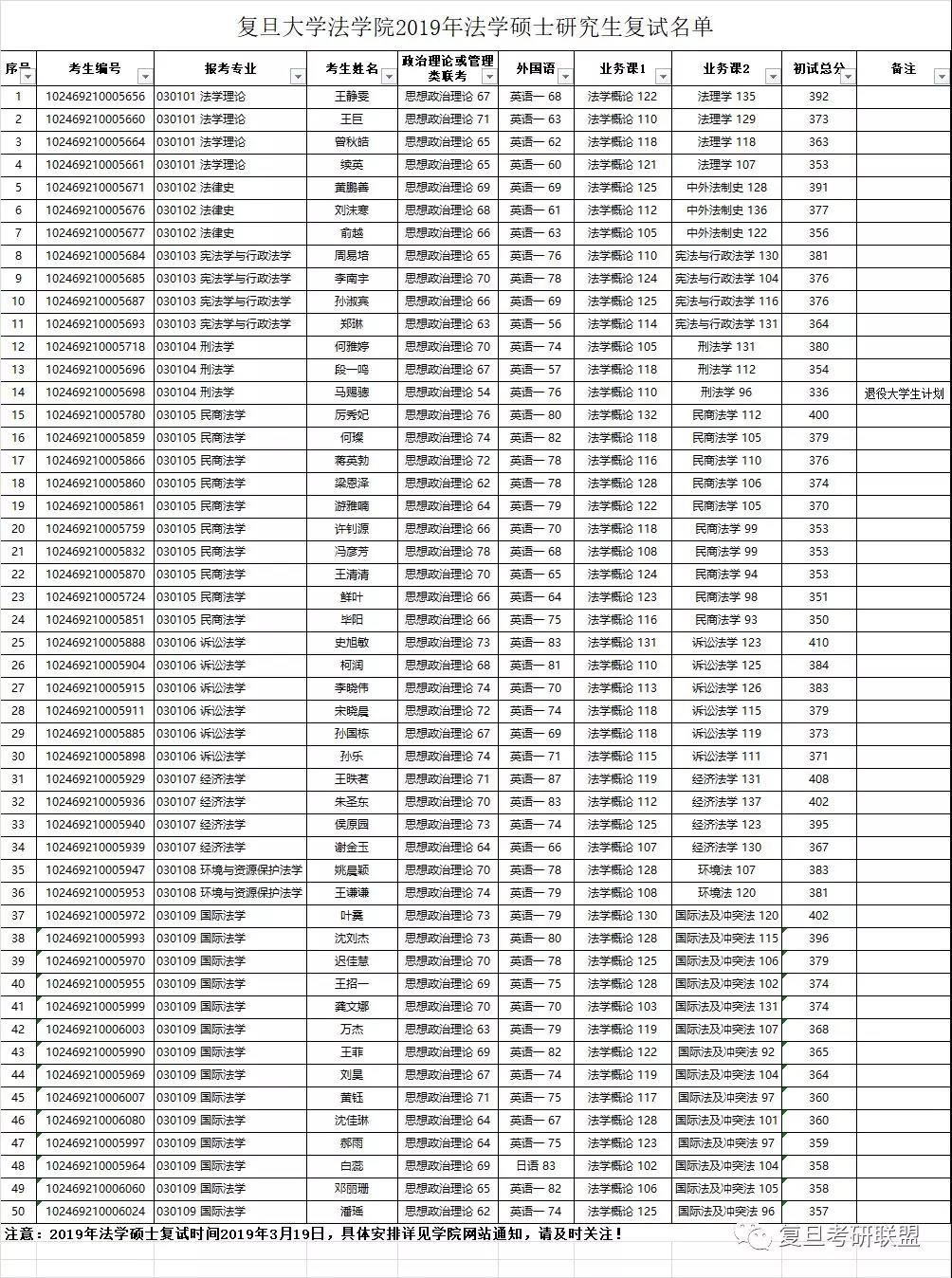
法学硕士复试名单
.jpg)
法律硕士复试细则
根据复旦大学制定的《复旦大学2019年硕士研究生招生复试录取办法》,法学院特制定《复旦大学2019年法学院法律硕士学位研究生招生复试实施细则》。
一、复试名单的确定
根据学校今年招生政策、各学科专业的招生计划及考生的初试成绩,达到复旦大学2019年硕士研究生招生考试进入复试的初试成绩基本要求的考生全部进入复试,具体复试名单请见相关通知。
二、复试的科目、方式、复试成绩权重、录取标准
(1)专业知识与技能复试:
法律硕士专业复试科目是“法学概论”。专业知识与技能复试采取口试方式,按百分制评分,专业知识与技能复试成绩未达60分的,不予录取。
(2)英语口语(含听力)复试:
英语采用口试方式测试口语和听力,按百分制评分,英语复试成绩未达60分的,不予录取。
(3)同等学力考生加试:
同等学力考生加2门本科专业主干课作为复试科目,采用笔试方式,分别按百分制评分。同等学力考生加试科目有一门科目笔试成绩未达60分的,不予录取。
(4)“思想政治品德”采用笔试方式。考核成绩分为合格与不合格。如“思想政治品德”考核不合格不予录取。
(5)复试总成绩由专业知识与技能复试成绩和英语口语(含听力)复试成绩两项组成。其中前项成绩在复试总成绩中占80%权重,后项成绩在复试总成绩中占20%权重。
(6)初试成绩和复试总成绩相加后,得出考生招生考试总成绩。初试成绩与复试总成绩各占招生考试总成绩的50%权重。除(1)(2)(3)(4)中不予录取的特定情况外,按招生考试总成绩的排名择优录取;成绩并列的,按复试总成绩择优录取。
说明:
一、根据有关通知,报考“法律(非法学)”专业的同等学力考生,复试中不安排加试。
二、成绩计算公式:
1.总成绩=初试成绩+复试成绩
2.初试成绩折算:
初试总分×0.1=初试成绩
注:0.1=0.2×0.5(初试总分500分折算成100分也就是100÷500=0.2)
3.复试成绩折算:
专业知识与技能成绩×0.4+英语口语成绩×0.1=复试成绩
注:0.4=0.8×0.50.1=0.2×0.5
三、复试具体安排待学院网站另行通知。
四、除考试文具外,考生携带的其他物品(包括手机),必须放到监考员指定位置。
五、法学院监督与申诉电话:021-31245703。
六、本细则的最终解释权归复旦大学法学院所有。
复旦大学法学院
2019年3月
法律硕士复试名单
.jpg)
.jpg)
.jpg)
.jpg)
.jpg)
.jpg)
.jpg)
.jpg)


















