为做好我院2019年度招收公开招考硕士生工作,根据复旦大学下发的相关工作文件精神,结合学院实际情况,拟定本方案。
一、复试名单的确定
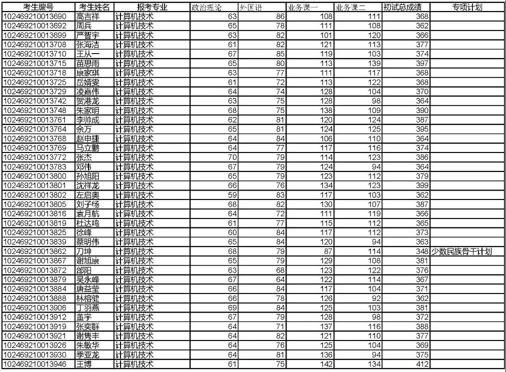
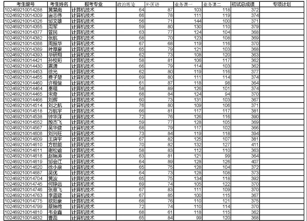
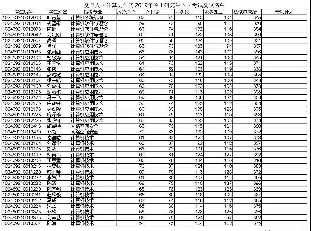
由学院研究生招生工作领导小组依据学校公布的考生参加复试的基本要求、当年的招生计划和考生的初试成绩择优拟定复试名单。复试考生名单在我院网站上公布。
为避免高分低能和有利于优胜劣汰,我院复试采取差额形式,差额比例一般不低于120%。
二、成立复试小组
学院高度重视复试工作,加强领导,精心组织。按学科方向成立复试小组,各学科方向选派责任心强、教学经验丰富、学术及外语水平较高的人员参与复试工作,复试小组成员一般不少于5人。复试小组成员应认真贯彻“公平公正,客观准确”原则,严格把好复试的质量关。
三、招生监察
学院党委选派合适人员承担招生监察工作,安排纪检人员或指定专人列席面试,对复试工作实施全程监督和重点时段监督。
四、报考资格审查
按照《复旦大学2019年硕士考生报考资格审查要求》,考生应携带以下材料参加复试:
(1)考生的准考证和有效身份证件原件。
(2)应届生的学生证原件。
(3)往届生的学历证书原件和教育部学历证书电子注册备案表(或学历认证报告),学位证书原件(报考对学位有要求专业的考生)。
(4)持在境外获得学历/学位的考生,须提交教育部留学服务中心出具的认证报告(境外学校在读本科生,不能以应届生身份报考)。
(5)对于同等学力考生,须查验授课学校教务部门提供的8门相关专业本科课程考试成绩单原件。
(6)对于在读研究生,须查验培养单位出具的同意报考证明;考生还需于拟录取前提供注销原学籍证明。
(7)对于在2019年9月1日前可取得国家承认本科毕业证书的自学考试和网络教育本科生,须查验颁发毕业证书的省级高等教育自学考试办公室或网络教育高校出具的相关证明。
(8)对于少数民族骨干计划考生,须查验是否具有《报考2019年少数民族高层次骨干人才计划硕士研究生考生登记表》。没有《登记表》的,不能列入少数民族骨干计划。
(9)对于“退役大学生士兵”专项计划考生,须查验是否具有《入伍批准书》和《退出现役证》。
2.在资格审查时,考生须携带上述材料原件和复印件各一套,复印件由院系留存。经审查,若发现考生不符合报考条件,立即取消其复试资格,初试成绩无效。
五、复试的内容、时间地点及方式
复试包括所报考专业的综合知识与技能、外语水平及思想政治品德等内容,同时重视本科阶段学习情况和科研能力。复试内容包括上机考试和面试。每位考生的面试复试时间一般不少于20分钟,其中外语口试约5分钟,进行全程录音。同等学力考生需加试两门科目:《算法设计与分析》和《软件工程》,闭卷考试;加试成绩不合格者,不予录取。
机考的考试时间为120分钟,闭卷考试,不能携带任何形式的资料。考试内容为程序设计、数据结构和算法,考试环境:VisualStudio2008C/C++并有Java环境。提醒考生:考题中可能会要求从文本文件中读输入,并把结果写入文件。
复试时间:3月18日和19日,地点:张衡路825号复旦大学张江校区,具体安排在研究生报考服务系统中通知。
六、复试评分标准
考生的总成绩包括初试成绩和复试成绩,初试成绩和复试成绩各占50%。
复试成绩中,上机考试成绩占40%,计算机专业知识面试成绩占总成绩的50%,英语面试成绩占总成绩的10%。复试成绩不及格者,不予录取。
七、填报学科方向志愿和分组面试
计算机专业知识面试分为以下5个学科方向,即:计算机科学与技术、网络空间安全、软件工程、大数据试验场、医学信息学。其中,计算机科学与技术一级学科包括:计算机系统结构、计算机软件与理论和计算机应用技术专业,以及(专业学位)计算机技术的智能媒体计算、智能信息处理和智能网络与系统3个研究方向。网络空间安全一级学科包括:网络空间安全和(专业学位)计算机技术的网络空间安全基础理论、密码学与数据安全和网络与系统安全3个研究方向。软件工程一级学科包括:(专业学位)计算机技术的软件工程与系统软件、数据科学与数据工程和人机交互与协同计算3个研究方向。大数据试验场为(专业学位)计算机技术的大数据技术与应用研究方向,医学信息学为(专业学位)计算机技术的临床医学信息处理研究方向。
学院在复试前向考生公布各学科方向的招生名额,复试前考生在学院规定的时间内填写第一志愿和第二志愿,选择是否愿意调剂,并分别参加报考学科方向的面试。
复试小组成员现场独立打分。复试后,各面试小组将面试的成绩上报学院,由学院计算出考生总成绩。学院根据总成绩、考生填报的志愿次序,确定拟录取名单。
八、考生咨询方式和监督与申诉渠道
考生咨询方式:计算机科学技术学院教务办公室,联系电话:021-51355555-14,邮箱:cs_jiaoxue@fudan.edu.cn。
监督与申诉渠道:计算机科学技术学院党委办公室,联系电话:021-51355555-28,邮箱:cs_dangban@fudan.edu.cn。
本细则自公布之日起实施,由计算机科学技术学院负责解释
.jpg)
.jpg)
.jpg)
.jpg)
.jpg)
.jpg)
.jpg)


















