摘要:本文由新祥旭考研吴老师为大家详细解析华中科技大学新闻与传播专硕考研情况,主要有以下几个板块:华中科技大学新闻与传播专硕考研考试科目、研究方向介绍、本专业近3年复试分数线对比、本专业近3年报录比情况、本专业考研参考书目、往年录取名单及华中科技大学备考经验。
一、华中科技大学新闻与传播考试科目
招生院系:新闻与信息传播学院
招生专业:新闻与传播(055200)(专硕)
研究方向:
00(全日制)不区分研究方向
00(非全日制)不区分研究方向
考试科目:
101思想政治理论
204英语二
334新闻与传播专业综合能力
440新闻与传播专业基础
注:2019年我院学术型硕士(新闻学、广播电视与数字媒体、传播学、广告与媒介经济)、新闻与传播专业型硕士同时招收推免生与公开招考,出版专业型硕士只招收公开招考的学生。新闻与传播专业型硕士同时招收非全日制考生
二、华中科技大学新闻与传播复试分数线
|
年份 |
政治 |
外语 |
专业课一 |
专业课二 |
总分 |
|
2019 |
55 |
55 |
90 |
90 |
345 |
|
2018 |
55 |
55 |
90 |
90 |
335 |
|
2017 |
60 |
60 |
90 |
90 |
388 |
|
2016 |
60 |
60 |
90 |
90 |
373 |
三、华中科技大学新闻与传播考研参考书(仅供参考)
334新闻与传播专业综合能力
孙发友:《新闻报道写作通论》(第2版),人民出版社2006年版 何志武:《《新闻采访》(第3版),武汉大学出版社2011年8月 赵振宇:《现代新闻评论》(第2版),武汉大学出版社2009年11月第2版 石长顺:《电视专题与专栏:当代电视实务教程(修订版)》, 复旦大学出版社,2013年1月版; 郭小平:《视听新媒体导论》,北京大学出版社,2014年8月版 钟瑛主编:网络传播导论(第2版),中国人民大学出版社2016年版 彭兰主编:《网络传播概论》(第4版),中国人民大学出版社2017年7月版 余明阳、陈先红:《广告策划创意学》(第2版),复旦大学出版社2003年版 陈先红著《现代公共关系学》高等教育出版社 2009年
440新闻与传播专业基础
方汉奇 《中国新闻传播史》中国人民出版社 2009年
郭庆光 《传播学教程》 中国人民出版社 2011年
罗杰斯 《传播学史:一种传记式的写法》,上海译文出版社 2002年
吴廷俊 《中国新闻史新修》 复旦大学出版社 2008年
屠忠俊 《传媒经营管理》 北京师范大学出版社 2013年
张昆 《中外新闻传播史》 高等教育出版社 2008年
刘海龙 《大众传播理论:范式与流派》 中国人民大学出版社 2008年
牛静 《新闻传播伦理与法规:理论及案例评析》 复旦大学出版社 2015年
四、2019华中科技大学新闻与信息传播学院复试方案 (一)招生计划 调剂说明: (二)复试内容 1.复试内容 2.复试形式 专业面试分为出版专业类、新闻与传播专业类。面试组由该专业挂牌招收硕士研究生的导师组成。面试成绩按统一印发的“复试情况记录表”中所列项目由面试组成员给出。去掉一个最高分,去掉一个最低分后,取平均分为考生的最终面试成绩。 面试必答题: ②外语口试严格按研究生院颁发的《华中科技大学硕士研究生英语听说测试实施办法》执行。 3.时间安排 (三)复试成绩核算 按照学校规定,复试成绩(百分制)等于复试各部分的成绩(百分制)加权总分,其中笔试占 40%,英语听说能力测试占 20%,面试占 40%。计算总成绩时,初试成绩(按“初试成绩/初试满分*100”的方式折算为百分制)占 60%,复试成绩占 40%。 复试结束后 2 天内,全日制专硕将按出版、新闻与传播专硕分别从高分到低分排序;非全日制专硕先按照报考志愿从高分到低分排序,如果生源不足,按照调剂志愿从高分到低分排序,予以公示,公示时间为 5 个工作日。公示期间,接受考生监督和申诉。 拟录取原则:“复试不合格、思想品德考核不合格、报考资格不符合规定者,不予录取。” 拟录取学生的其他手续待研究生院统一公示确定后,另行通知。 .jpg)
如果非全日制生源不足,我院进入复试的全日制考生可以自愿申请调剂到非全日制专业,依次从高分到低分录取。
复试包括专业知识、综合素质和能力,外语听力、口语以及思想政治品德等考核内容。
①专业知识、综合素质和能力考核:采取专业笔试、专业面试等方式进行。专业笔试不指定参考书目。就本专业基础知识和基本理论,考察并测试考生运用基本理论分析现实问题的能力。笔试试卷由监考老师统一装订,装订时要将试卷中说明考生情况的左边条密封,以保证试卷的公正性。
简述自己的教育背景(主要指本科就学情况);
说明自己的毕业论文内容(应届生)及科研经历(非应届生)。
面试选答题由考生在预先准备好的题目签中随机抽取。
③思想政治品德考核:全面考核考生的政治态度、思想表现、道德品质等。
.jpg)
.jpg)
(1)出版专硕按照总成绩从高分到低分录。
(2)全日制新闻与传播专硕按照总成绩从高分到低分录。
(3)非全日制新闻与传播专硕,按照报考志愿从高分到低分录。如果生源不足,按照调剂志愿从高分到低分录。
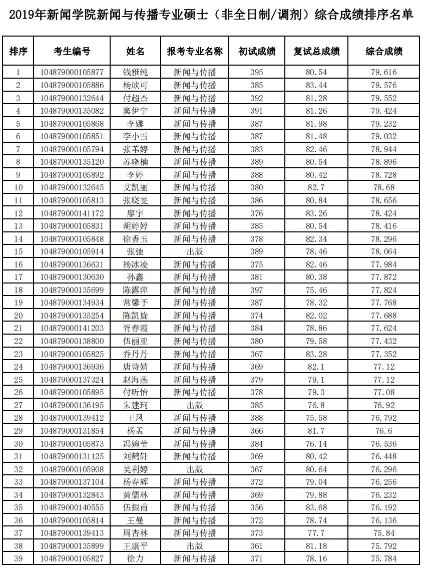
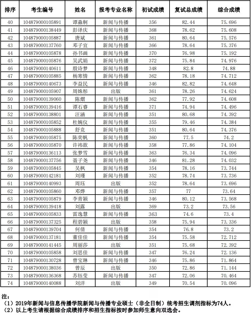
(四)2019新闻与传播复试结果
.jpg)
.jpg)
.jpg)
.jpg)
.jpg)
.jpg)


五、华中科技大学新闻与传播考研复习经验
今年华科大纲中取消了参考书目这一项,但从考试范围看,仍然集中在之前的参考书,下面针对各书进行讨论。张昆:《中外新闻传播史》方汉奇:《中国新闻传播史》吴廷俊:《中国新闻史新修》(这三本书不需要全部看,中新史选择第三本,中外史选择第一本,新闻史笔记不建议自己做笔记,既耗费时间又可能遗漏重要知识点,我个人是用的新祥旭辅导老师给的笔记,同时补充自己总结的一些知识点,直接打印背诵,省时高效)
郭庆光:《传播学教程》——必看背内容,特别是考纲规定的考试范围部分务必理解透彻并重要知识点。刘海龙:《大众传播理论:范式与流派》埃弗里特·罗杰斯:《传播学史:一种传记式的写法》(这两本可以一起看,属于传播学史方向,内容比较难懂,但不需精读,只需要整理出传播学早期源流、三大流派、四大奠基人及学科开创者的分类笔记即可,我是老师直接给的,就直接背了)
六、新祥旭考研辅导
考研辅导提供的拓展资料如下:
历年真题:专业课历年考试真题及答案解析;
内部资料:专业课内部重难点讲义和常考知识点笔记梳理;
其他资料:相关出题导师的期刊文章及论文集、案例分析补充材料等等;
考研辅导免费提供的附加服务如下:
[1]免费提供考前应试指导;
[2]免费提供复试咨询;
[3]协助联系导师或者提供导师联系方式;
[4]免费提供考研公共课复习指导或资料。
课程顾问:吴老师
电话:18171195760
微信
.jpg)


















