一、复试基本要求
我院生态学按照复试差额比例(上线生人数与招生计划的比例)3∶1进行复试,其他专业复试线按照山东大学2024年硕士研究生招生考试考生进入复试的分数线执行。
二、复试笔试科目(满分100分)
植物学、遗传学、细胞生物学、发育生物学、生物化学与分子生物学、生物与医药专业:《分子生物学》。
生态学专业:《生态学综合技能》。
三、综合素质考试(满分100分)
内容包括英语听力,英语口语,专业基本知识,专业实验技能,考生对专业学科发展的了解等。
四、录取
依照学校相关规定,根据我院招生计划、复试录取办法以及考生初试和复试成绩、思想政治表现、身心健康状况等确定拟录取名单,复试总成绩低于60分者,不予录取。
1.拟录取排名方法:
复试总成绩=笔试成绩×30%+综合素质考试成绩×70%
初试成绩
录取成绩= —————×50%+复试总成绩×50%
5
2.各专业根据招生计划,按照所报考专业的录取成绩从高到低进行录取。
拟录取名单将在4月3日下午17:00分前在生命科学学院网页公示。
3.入学后3个月内,按照相关规定对所有考生进行全面复查。复查不合格的,取消学籍;情节严重的,移交有关部门调查处理。
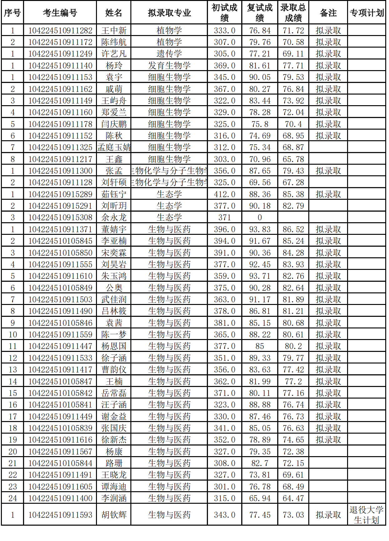
五、拟录取名单

新祥旭提示:
已经有很多的2025考生在搜集院校和专业的信息,向学姐学长求经验,考研人进入考研备考啦,其他还在摇摆不定的小伙伴们,你们犹豫一天,就少了一天准备的时间。如果做好考研的决定了就要快快行动哦,新祥旭带大家高效备考,圆梦名校!!!
- END -
如果你对考研有任何疑问
或想咨询报名辅导课程
请联系我们
↓↓↓


















