一、招生计划与复试比例

二、录取
1.复试成绩计算
复试成绩=笔试成绩×30%+面试成绩×65%+外语听力及口语测试成绩。
2.拟录取成绩计算方法:
拟录取成绩=(初试成绩÷5)×50%+复试成绩×50%
3.录取原则:按照招生专业目录中的专业(二级学科),分专业根据拟录取成绩排名录取。
4.复试结束后,将在学院官网公示复试结果。复试总成绩为百分制,复试总成绩不合格(低于60分)者,不予录取。
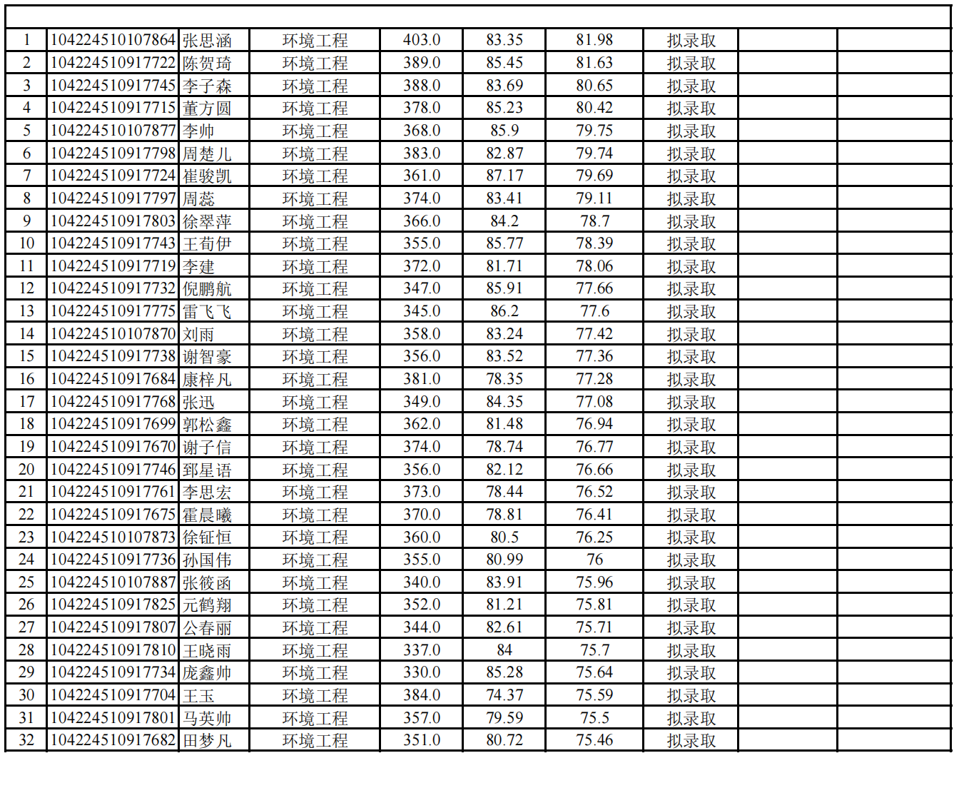
三、拟录取名单




新祥旭提示: 已经有很多的2025考生在搜集院校和专业的信息,向学姐学长求经验,考研人进入考研备考啦,其他还在摇摆不定的小伙伴们,你们犹豫一天,就少了一天准备的时间。如果做好考研的决定了就要快快行动哦,新祥旭带大家高效备考,圆梦名校!!! - END -
如果你对考研有任何疑问 或想咨询报名辅导课程 请联系我们 ↓↓↓


















